अयान न्यूज मनीष पाल की कलम से
विभागीय बी.एड. हेतु चयनित अभ्यर्थियों की अंतरिम सूची जारी
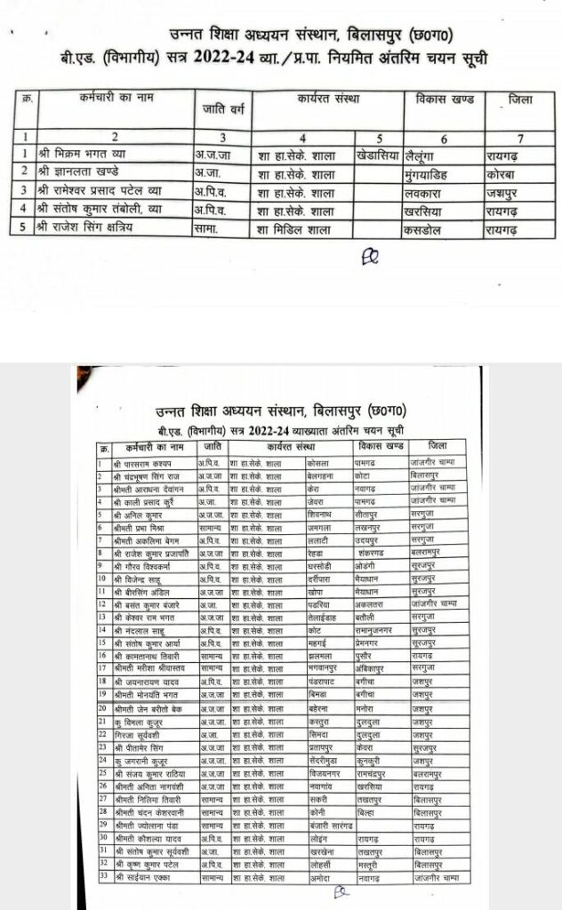
*आज दिनांक 20/07/2022 को उन्नत शिक्षा अध्ययन संस्थान बिलासपुर में सत्र 2022-24 में बी.एड.(द्विवर्षीय) विभागीय प्रशिक्षण करने हेतु ई. एवं टी. संवर्ग तथा ई. एल. बी. एवं टी.एल.बी. संवर्ग से 75 शासकीय शिक्षकों का चयन कर अंतरिम सूची जारी की जा रही है ।*
यदि किसी अभ्यर्थी को आपत्ति हो तो अपने समस्त दस्तावेजों के साथ दिनांक 26/07/2022 तक महाविद्यालय में उपस्थित होकर दावा आपत्ति कर सकते हैं।
अंतरिम प्राचार्य आई.ए.एस.ईबिलासपुर


